search
f
แขวงทางหลวงกาญจนบุรี
KANCHANABURI HIGHWAY DISTRICT
วิสัยทัศน์ : บำรุงรักษาทางหลวงให้มีความสะดวก สะอาด ปลอดภัย เพื่อความพึงพอใจของผู้ใช้ทาง
หน้าแรก
สถานที่ตั้ง
สถานที่ตั้ง
เกี่ยวกับหน่วยงาน
ประวัติ
โครงสร้างหน่วยงาน
ฝ่ายบริหารงานทั่วไป
งานสารบรรณ
งานสารสนเทศ
งานการเงินและบัญชี
งานพัสดุและสัญญา
ฝ่ายปฏิบัติการ
หมวดทางหลวงปากแพรก
หมวดทางหลวงลาดหญ้า
หมวดทางหลวงหนองบัว
หมวดทางหลวงด่านมะขามเตี้ย
หมวดทางหลวงท่ามะกา
หมวดทางหลวงไทรโยค
หมวดทางหลวงท่าม่วง
หมวดทางหลวงศรีสวัสดิ์
หมวดทางหลวงทองผาภูมิ
หมวดทางหลวงสังขละบุรี
ฝ่ายปฏิบัติการ
ฝ่ายวิศวกรรม
งานวางแผน
งานปรับซ่อม
งานอำนวยความปลอดภัย
คณะผู้บริหาร แขวงทางหลวงกาญจนบุรี
แผนที่ระยะทางควบคุม แขวงทางหลวงกาญจนบุรี
หน้าที่ความรับผิดชอบของกรมทางหลวง
บริการทางหลวง
ข่าวประชาสัมพันธ์
ภาพกิจกรรม
แอปบริการทางหลวง
DOH to travel
M-pass
M-Traffic
Highway Traffic
การสำรวจความพึงพอใจในการให้บริการ
สถิติทางหลวง
รายงานความก้าวหน้างาน/โครงการ
รายงานอุบัติเหตุบนทางหลวงทั่วประเทศ
รายงานปริมาณการจราจรบนทางหลวงทั่วประเทศ
ติดต่อเรา
กฎระเบียบ
กฏหมายและระเบียบทางหลวง
พระราชบัญญัติทางหลวง
กฎกระทรวง
ข้อกำหนดการบรรทุกน้ำหนัก
ชำระเงินค่าธรรมเนียม M-Pass
การเวนคืนที่ดิน
ระเบียบการเวนคืนที่ดิน
จัดกรรมสิทธิ์ที่ดินในขั้นปรองดอง
การจัดซื้อจัดจ้าง
พ.ร.บ.ข้อมูลข่าวสาร
พ.ร.บ.ข้อมูลข่าวสารของราชการ พ.ศ. ๒๕๔๐
สาระสำคัญของ พ.ร.บ.ข้อมูลข่าวสารของราชการ พ.ศ. ๒๕๔๐
พ.ร.บ.ทางคอมพิวเตอร์
การรักษาความมั่นคงปลอดภัยของระบบเทคโนโลยีสารสนเทศ
การรักษาความมั่นคงความปลอดภัยทางไซเบอร์
คุ้มครองข้อมูลส่วนบุคคล
พ.ร.บ.การกระทำผิดทางคอมพิวเตอร์
คู่มือ/มาตรฐานในการปฏิบัติงาน
ด้านมาตรฐานงานทาง
มาตรฐานชั้นทาง
มาตรฐานงานทาง
มาตรฐานวิธีการทดลอง
ข้อกำหนดวัสดุงานทาง
ด้านงานสนับสนุน
ด้านก่อสร้างทางหลวง/สะพาน
ด้านบำรุงรักษา
ด้านความปลอดภัย
ด้านสำรวจและออกแบบ
วิสัยทัศน์ : บำรุงรักษาทางหลวงให้มีความสะดวก สะอาด ปลอดภัย เพื่อความพึงพอใจของผู้ใช้ทาง
หน้าแรก
/
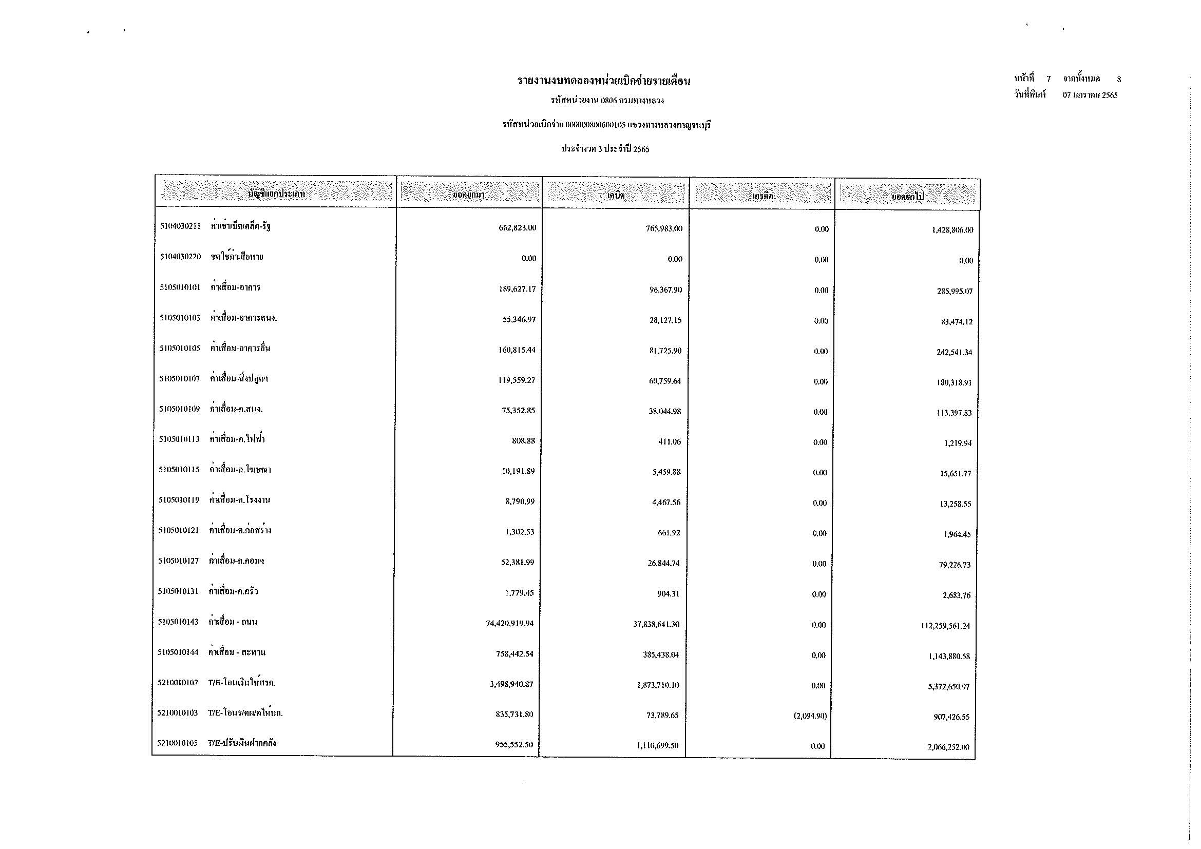
ข้อมูลข่าว : รายงานงบทดลองหน่วยเบิกจ่ายรายเดือน ประจำงวด 3 ประจำปีที่ 2565
รายงานงบทดลองหน่วยเบิกจ่ายรายเดือน ประจำงวด 3 ประจำปีที่ 2565
ลงวันที่ 13/01/2565
รายงานงบทดลองหน่วยเบิกจ่ายรายเดือน ประจำงวด 3 ประจำปีที่ 2565
เอกสารดาวน์โหลด
คำอธิบาย
จำนวนดาวน์โหลด
ดาวน์โหลด
87
ดาวน์โหลด
'
Copyright © 2017 Department of Highway. All Right Reserved.
Total Visitor: 88,404 Today's Visitor: 358